Determining the Strength of Relationships
Spearman’s Rank is a statistical analysis that can be used to determine whether a correlation exists between two variables. For example, between the distribution of a species and some other biotic or abiotic factor.
When determining Spearman’s rank, the researcher will state a null hypothesis, which always states that there is no correlation between the variables. Once you have determined the rS value, you are able to accept or reject the null hypothesis.
Spearman’s Rank Correlation
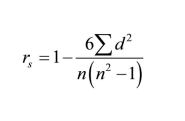
An rS value is calculated that ranges between -1 and 1, with:
- ∑ = sum of (total)
- n = number of pairs of items in the sample
- d = difference in rank between each pair of measurements

This Spearman’s Rank Correlation Practice will help the AICE Marine Science student analyze whether a correlation exists between two variables by providing an unlimited number of data sets in which to learn and repeat this important practical skill.
The data on two variables is provided (Species X and Species Y), with a default number of ten pairs (n = 10).
AICE Marine Science — Spearman's Rank Worksheet
Why Spearman’s Rank Correlation Was Developed
1. To handle non-normal or ordinal data
Karl Pearson’s product–moment correlation (the familiar r) only works well when:
- data are continuous
- data follow a normal distribution
- the relationship is linear
- no extreme outliers
In many real-world cases—especially in psychology, education, and biology—data do not meet those assumptions. Charles Spearman developed his rank method to provide a robust alternative that works with:
- ordinal (ranked) data
- nonlinear but monotonic relationships
- data with outliers
2. To support early research in psychology
Spearman, a psychologist, created this statistic (published in 1904) while working on:
- measuring cognitive abilities
- understanding relationships between test scores
- developing “general intelligence” (g-factor) theory
Psychological measurements often aren’t precise numbers—they’re more like ranked performance levels—so a correlation method based on ranks rather than raw scores was ideal.
3. To reduce the influence of extreme values
Ranking data automatically reduces the effect of unusually high or low values. Spearman wanted a way to reveal the underlying relationship between variables without extreme scores distorting the results.
Spearman’s Rank Correlation Summary
- is a non-parametric measure of monotonic relationships
- works with ordinal data or non-normal distributions
- was developed to provide a more robust alternative to Pearson’s r
- originated from Spearman’s work in early psychometrics (1904)
- remains widely used in biology, ecology, psychology, and education
AICE Marine Practice Test
When you feel that you’re ready and you’d like to test your level of knowledge, take our online AICE Marine Practice Test to see where you’re at and the areas that still need some focus. Good luck!

